Steve Cushing Impresionist Fine Art Photography

Embracing imperfection, recording emotions, one impression at a time…

ZEISS-STEREO-SYSTEM




There are various options and methods, in conjunction with suitable recording and playback devices, for stereoscopic, i.e. i.e. to achieve three-dimensional image effects. These enable us to recognise the spatial assignment of the recorded objects - in accordance with our natural binocular vision. Each of our eyes records and creates the image of its surroundings from a different point of view - eye distance. The respective image impressions of our surroundings are sent to the visual center, where they unite; This creates the impression of spatial vision - something that has become so natural to us.


Stacks Image 593
Zeiss made quite a few systems indeed the Stereotar C remains the pinnacle but as often happens with complicated, expensive fads, even the Stereotar soon ceased to pay its way (if it ever had) and during the later days of the Contax system one could find kits remaindered at incredibly cheap prices, not so now, they are very expensive. The Stereotar-C remains the holy grail of Contax collectors as well as 3D enthusiasts, embodying as it docs the virtues of technical perfection, relative ease of use and substantial rarity.



But it was not the only system, indeed Zeiss developed the Steriatar system and the slightly more complex Zeiss Stereo system described on this page. The Steriatar is the most available system now as more were produced. It has various mounts and uses an extension in front of the lens to stop excessive overlap between the two images as can be seen here. This is needed due to overlap in the image window. The overlap and restriction on the usable image window is due to the light from the partial images overlapping as it is reflected back by total reflection on the glass-air surface.

Stacks Image 653


The unedited image below shows this reflected light that has to be removed by cropping thus reducing the size of the usable image stereo window. This image was taken with the lens defined on this page. To understand the term Stereo Window in more detail click HERE

Stacks Image 663


The Stereotar has a smaller light leak and larger usable image window as can be seen below. This is because it uses two lenses and a septum between the two lenses protruding almost to the film plane. Note also that the Stereotar image out of the camera is crossed (X) due to these two lenses and the beamsplitter image out of the camera is in Parallel as it uses just one lens.

Stacks Image 676


The cropping is important as one needs to be aware of the Stereo Window. An often confusing but important concept to understand when creating stereo images is the Stereo Window. Any object (even the image frame itself) that exists in both left and right images holds a place in space from the viewer. Because of this, the most natural viewing experience is to have scene being viewed behind this virtual window created by the image frame. The "image frame" is the physical black box that surrounds each image.


To fully appreciate the stereo window, we must first turn our attention to the means by which our eyes can ascertain depth in a stereo image, that is, homologous points. These are a pair of points, one in each image, which correspond to a single physical point in space in the original scene.


Getting back to the lens described on this page.

Stacks Image 660
The Zeiss stereo recording system uses two prism attachments: for recording distances from 2 m to infinity, an attachment with a 65 mm base, and below 2 m an attachment with a 12 mm base. This is explained in detail on this page.

The first version (which I own and is shown below) was first introduced in 1957 and has a lens connection for 40.5 mm filter thread, the later version was made for a 49 mm filter thread. These lenses are screwed directly in front of a normal lens with a 40.5 mm filter connection or with a 49 mm filter connection.


By adding to an existing 50mm lens the owner of a 35mm SLR equipment did not need to purchase a new special camera or lens; all it needed was the stereo prism attachments for long-distance and close-up shots, which could be attached to any 50mm lens. This also allows for a range of bokeh options although stereo images are best when distant objects are in focus. It also allows for a quick change from stereo to standard images as the lens can remain the same lens, just the splitter is added.

I often use my prism on an old brass Leica Canon 50mm f8 lens and it is quite effective.

For Canon lens details click HERE.
Stacks Image 642


Stacks Image 255
Stacks Image 416


A serial number can be seen on the prism, although serial numbering was later used only on the smaller devices.

The 12 mm attachment I own carries the number 36993, and my 65 mm attachment shown above is numbered 34115T.

Thereby we see that the larger device has a T-coating, while my closeup attachment does not have a T-coating.

To focus as close as 0.2 mm a closeup attachment is required.

I have all three close-up attachments for the 12 mm baseline prisms

These Proxars are 50, 30 and 20, catalog number 913. taking 40.5 mm screw-in filters, are appropriate for use in the closeup range down to 0.2 meters.

In a model with T coating, the range was extended down to 0.15mm.

With a supplementary lens added to the camera objective the range can be extended further.

Both the 12 mm and the 65 mm attachments also exist with an opening diameter of 26 mm, suitable only for the Tessar f 3.5 and f/2.8 5 cm lenses. The f/2 5 cm Sonnar. with a 30mm opening diameter, and the f/1.5 5cm Sonnar, with a 34 mm opening diameter. I do not own these so cannot provide any reviews of them.


A simpler design even for the Stereotar was also available and was produced in Kiev. It was much simpler than the Zeiss set, both in concept and in design. Imaging was via its own optics and a version of this lens splitter via the standard 50 mm lens, with beam­ splitting prisms placed in front. Thus the stereo images were produced direct­ly in the configuration called "O” by Charles Barringer.

The Kiev stereo prism attaches directly to the camera body with the normal external Contax bayonet mount, and the device is therefore perfectly suited to the German Contaxts as well as the Kievs. An open­ing in the barrel of the prism attachment allowed adjustment and confirmation of the diaphragm setting.

The stereo package included an addi­tional viewfinder, which is quite rare.

The exterior finish of the beamsplitter is similar to that on the Soviet cameras, and together with tire engraving is much cheaper-looking than on any of the Ger­man cameras.

A difference between the two designs can be seen in the positioning of the front faces of the prisms. In the Kiev design they are parallel to each other and to the camera, while in the German version that I own they are turned inwards slightly as can be seen below with the Zeiss on the left and the Russian version on the right.


Stacks Image 603


Zeiss and Russian Stereo systems available post war and in the 1950s.


Stacks Image 629


So why FOUR prisms on this Zeiss system?

In order to capture the spatial impression, a photograph is necessary whose individual images are taken from two different points. The distance between the points is called the recording base, which corresponds approximately to the distance between the eyes. The two images of the same subject divide the 24 x 36 mm 35mm format into two equal image halves. The sterotar uses two prisms but this system has 4. Note that each attachment has four single prisms. The same two small right -angled prisms are used in each design (although they look different in these different­ly-scaled drawings) and are provided to avoid overlap of the stereo images such as occurs in the Stuttgart and Kiev designs.

The optical separation of the two images is achieved by the air gap between the prisms performing a certain angle to the incident light rays.

Stacks Image 615
Catalog page from a Leipzig Fair of the mid- 1950s, showing the arrangement of prisms in the 12 mm baseline and 65 mm baseline beamsplitters.


This angle is chosen so that the light that would cause the partial images to overlap is reflected back by total reflection on the glass-air surface. For geometric-optical reasons, the separation process in the image plane extends over a few millimetres. The human inter-pupillary distance is irrelevant in this area of interest but as a basic rule, the stereo base is recommended to be 1/30 of the distance to the closest subject in the frame, for subjects situated at normal to long distances from cameras, about 1/10 in the case of macro 3D photo, and everything in between depending on particular situations.

As we view close up objects differently to distant objects a different prism is required to a changeable mirror as uses by the Stitz system. As the Zeiss system uses a prism adjustment of this type is not possible, hence two different lens prisms, the close-up one I own is shown below.

The risk of image disintegration due to excessive depth expansion is greatest at close range. With natural vision, we help ourselves by allowing the angle of the image to move by changing the accommodation of the eyes and thus scanning the entirety of the space of interest. If a stereophotographic image pair is available, this possibility is closed.


Stacks Image 260
Stacks Image 262


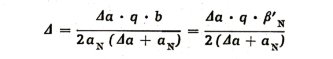
By using an image mask similar to that used for flat-screen slides, but with a 4 mm wide vertical bar, the somewhat curved and blurred dividing line is covered. The three-dimensional effect when viewing the two partial images, with each eye only being fed the image assigned to it is based on the lateral parallax. The partial images are recorded from two different points - in accordance with duel vision - and therefore differ from one another in the lateral arrangement of the individual image points. This deviation (parallax) that exists between the objects staggered in depth is according to the equation below:


Stacks Image 432


The depth thus depends on the depth difference (A a), the near point distance (aN) and the recording base (q). Experience in seeing shows that the parallax cannot be arbitrarily large if the entire depth of the object is to be clearly seen. The requirement that the angular difference between the near point (N) and the far point (F) should not be more than 70' was derived from this experience and set up as a limit condition. Although it has been shown that this so-called "70' condition" does not have to be strictly adhered to in every case, it should not be exceeded without reservation if physiological viewing difficulties and a destruction of the overall impression are not to occur during reproduction.


Stacks Image 442



Stacks Image 440


As experience and the equation above show, the 70' condition must be approximately fulfilled, i.e. that is, at a close point distance of 0.5 m, the depth extension at the base of 65 mm should not be greater than 10 cm. This is a limitation that can be modified by keeping the shooting base smaller for short shooting distances. This has proven to be advantageous, even if the base no longer corresponds to our average eye distance.



Stacks Image 581
Stacks Image 583


The prism attachment with a 12 mm base is used for close-ups of less than 2 m. For shorter distances in the “grip area”, additional lenses of 2, 3 and 5 D are provided, which are placed on the prism attachment. The recording distances that can be achieved can be seen in the following table:

Additional lens recording area
from to
without 2 m 0.50 m
2 x 42 0.55m 0.35m
3 x 42 0.40m 0.30m
5 x 42 0.30m 0.25m




Attaching the attachments takes no more time than changing a lens. In addition to this simple application, the well-known and proven advantages of the single-lens reflex camera and Driving digital cameras come into their own, which owes its popularity above all to the convenient and safe use for close-ups. The viewfinder image is displayed by the recording optics via the mirror of the reflex device or by the digital sensor as it appears on the film or sensor, i.e. regardless of the distance, lens and additional optics.

The possibility of three-dimensional reproduction is of particular importance when demonstrating things and processes whose form is still unknown to the viewer. We have become accustomed to reading the spatial arrangement, including the extent of depth, from a flat image - be it of people, buildings or landscapes. This process is - almost always - an unconscious processing of perspective laws, which allows us to draw conclusions about their spatial position in relation to one another by comparing the sizes of the depicted objects that we know. However, if it is a photograph that is intended to demonstrate an unknown object to the viewer, the flat image may, under certain circumstances, lead to inadequate or even incorrect knowledge of the position of certain details in space. There are plenty of examples of this in natural science and technology. Most of these are close-up shots of less than 2 m.


Stereo systems for the Carl Zeiss Jena Contax, Contax S, Exacta and other systems were listed in many cata­logs between 1952 and 1966 and cer­tainly manufactured and sold in large numbers.

But by the middle of the 1960s, interest in three-dimensional photography declined and with it the production of stereo devices ceased.



History

Carl Zeiss was born in Weimar on 11 September 1816. He built microscopes in Jena from 1846 onward.

The correct way to pronounce "Jenna" is to make it sound like "Yenna" in English.

The history of Zeiss mirrors German history and all of its highs and lows. It was founded as a business in 1846. World War I, the global financial crisis and World War II were years of ups and downs.

Carl Zeiss Jena had become a Social-Democratic bulwark. From 1933 and through World War II Carl Zeiss supported the Nazi regime as did most major German industries. About 1937 the atmosphere at Dresden changed (something was coming) and civilian projects were put on low priority, and military items, such as gunsights, bombsights, etc were being pushed. The prototypes were kept in the lower (second) basement level and all further work was done by the devoted staff on their own time, usually during the lunch periods.

When World War II began in September 1939 there was an air of invincibility in Germany, and in keeping with traditional practice, Zeiss products proudly borne the makers trademark and city of origin of the product. Forced foreign labourers (Fremdarbeiter) were brought to work at Carl Zeiss Jena manufacturing facilities.

In Zeiss Histories vol. 25, no.1 (Spring 2003) Charles Barringer described the stereoscopic accessories made for the pre- and post War Zeiss Ikon Contaxs. and Pierpaolo Ghisetti did the same for the similar cameras made in Kiev. But as we know, after the end of the war the Russian occupation forces in the East­ern Zone ordered the manufacture of comparable cameras in Jena, the "Carl Zeiss Jena Contax." and those cameras had stereo accessories too. The Carl Zeiss Jena stereo systems served as pro­totypes for the Kiev Contaxts that were to come in 1955.

Collectors rejoice not only over the high quality with which these devices were made but also in the almost-forgotten three-dimensional stereo effect.

Single and double objectives

There are two distinct techniques for stereo photography. One can have either a single objective or two separate objectives a short distance apart. Their separation, or "baseline." depends directly on the focusing dis­tance. For the closeup range it amounts to only a few millimetres. For a base­ line of about 18 mm. stereo shots can be made at the "portrait" range, say from 0.8 to 2 meters.

To take photographs in the range from two to eight meters one needs a baseline of about 6.5 cm. This can be attained by the use of prisms to con­verge light-rays originally separated by he average human inter-pupillary dis­tance. 6.5 cm. to the camera lens or lenses. If one wants three-dimensional photographs of distant mountain ranges or cloudscapes, the baseline separation would have to be more than a kilometre obviously not possible with a single camera. But two photographers, aim­ing at the same pre-arranged point in the landscape and coordinating the tim­ing of their exposures by the use of mobile telephones, could conceivably do it.

Those stereo systems that have only one objective lens need a beamsplitter placed before the lens. The dimensions and angles of the prisms that perform this function will determine the effec­tive baseline of the combination.

Zeiss Ikon Stuttgart had. in the 1950s. brought out the two-objective sys­tem for the Contax and a single-lens system for the Contaflex and Contina. chere was also a close-up attachment, working in the 0.2 to 2.5 meter range, for the Contaflex. which is today very hard to find but is defines here and was purchased by me on eBay.

In general the preferred method for stercophotography is the two-lens sys­tem. but the beamsplitter method with a single objective can also produce excel­lent photographs with astounding three-dimensional realism.

Zeiss Ikon AG Dresden produced fewer units. many of which were destroyed through the effects of the War. as compared with the more highly regarded ones produced by Zeiss Ikon Stuttgart. During the period 1946 to 1956. when 1,500 Zeiss Jena Contax II cameras were produced, only a very few stereo attachments were made for them.

At the Leipzig Fair in 1950 beam­ splitters with the Zeiss prism design were shown to the public for the first time. Carl Zeiss presented the units with a choice of two mounts, the first one for the Carl Zeiss Contax and the other for the new Prism Contax S. One advantage of lire beam-splitter principle is that a single attachment can work with different camera systems.

For the focusing range from infinity to two meters Zeiss developed a design with a 65 mm baseline. Naturally the stereo effect does not extend to infinity, but takes effect only between about two and eight meters. At the same time Zeiss showed at this Leipzig Fair a closeup attachment with a 12 mm baseline, for closeup work in the one to two meter range . The rare prospectus of this Leipzig Fair shows, with these devices, a "torpedo" viewfinder devel­oped as a stereo-finder and also a quite rare .



So it is spring 1938: Two years after the launch of Contax II and already in full production, Contax III Comes to Zeiss IKON to launch a scene-taking equipment in 3 dimensions, relevant to the Contax system. Unlike the paths taken so far to create an adapter for stereoscopy, Zeiss IKON came to build a STEREOSCOPIC TRANSFORMER set for their Contax cameras, including a series of sub accessories designed to adapt the product to all uses.

Undoubtedly, this accessory, admired and revered by collectors, had as its primary function, in addition to supplying photographic needs, as well as many other products of this brand to spread German supremacy among other nations.

Mr. Vierling, who was an avid advocate of stereo photography, did not "invent" or design the Contax Stereotar—he was however a populariser of the concept. Under the German patent system, it is the Company, and its top management, whose name appears as the inventor on patents.

3D photos, much like 3D movies, have a reputation for being a bit of a fad. It falls in and out of fashion. Its popularity is on the rise again, but it’s not a modern phenomenon. It has been around for decades.

Humans see the world in 3D. Our eyes can detect height, width, and depth. Our brain processes the information from both of our eyes to give us stereopsis vision. It means we have depth perception and can judge distances. So often we arrive at a stunning landscape and start clicking away with the camera. Equally as often, the results disappoint us. This is because it's the 3D nature of the scene that makes it so stunning. And our photographs are only 2D. Therefore the "wow" factor is completely lost.




3D photography is a great way to add a little something extra to your photography. You can just take more than one image by moving the camera slightly to the left or right. But this only works when you have a stationary subject, because you need to take two photos in quick succession of the same scene with no other movement in the shot.

Try taking a 3D photo of your pet dog this way, and the chances are that Popcorn will have moved between shots!

This lens adapter means the two pictures are taken at exactly the same time so it does not suffer the same fate. Anything can be photographed.




Stacks Image 205



This Lens

These lens attachments fit all modern cameras and is an excellent lens splitter.

Summary

I have played with stereo photography first with the Asahi Pentax Stereo Adapter and Viewer kit for 49mm which I found a bit of a gimmick, then the Stitz 3D Stereo SV-1 which was quite good when used on long focal lengths but useless for portraits or close ups, it also was from heavy. This Stereotar has two lenses and can be used without the beam splitter on the front making it quite small. The set comes with a front unit to enable a greater split in the lens distance for non macro shots over 2.5 meters under this you do not need the front unit. This was the best option but only works with its own lenses.

This lens also has a series of 3 special proxars (close up lenses) for 20, 30 and 50mm distances. These are made for the system so differ from normal optics. They are very simple and effective in use.

I have found this system to be amazing and fun. It is by far the best system second only to a stereo camera. The only issue is reflected light when the extra splitter is used as it has no lens hood. But overall this lens great for learning about both depth of field and where to place that depth of field in an image, also great for learning about composition and ensuring that the image has a single story to tell. If you can't achieve this with a normal photo forget trying 3D.



STEREO IMAGES



Stacks Image 384

Images with
Lens

LINKS TO STEREO IMAGES OF FRENCH VILLAGES


Stacks Image 484

Click Link
For Vieussan
Stereo
Images

Stacks Image 479

Click Link
For Herepian
Stereo
Images

Stacks Image 474

Click Link
For Olargues
Stereo
Images



Stacks Image 500

Click Link
For
Bédarieux
Stereo
Images

Stacks Image 495

Click Link
For
Villemagne-l'Argentaire
Stereo Images

Stacks Image 490

Click Link
For
Boussagues
Stereo Images



Stacks Image 516

Click Link
For
Faugères
Stereo
Images

Stacks Image 511

Click Link
For
FOS
Stereo
Images

Stacks Image 506

Click Link
For IR
Stereo
Images

LINKS TO CREATIVE STEREO IMAGES



Stacks Image 525

Click Link
For Creative
Painted
Stereo
Images



Links to IR and UV Stereo Images

Stacks Image 543

Click Link
ZBW2 Stereo
Images

Stacks Image 538

Click Link
ZB3 Stereo
Images

Stacks Image 533

Click Link
QB1 Stereo
Images


Stacks Image 555

Click Link
CB580 Stereo
Images

Stacks Image 550

Click Link
850nm Stereo
Images



LINKS TO STEREO LENSES



Stacks Image 571

Zeiss
STEREOTAR C
CONTAX 3D
35mm f3.5

Stacks Image 566

Stitz Stereo
SV-1 3D


Site Search




Stacks Image 97
Stacks Image 100